چکیده
عصر جدید شاهد ترکیبی جذاب از تکنولوژی و مد در عرصه لباسهای نورانی با استفاده از فیبر نوری و فناوری فلورسنت است. این لباسها با ترکیب فیبرهای نوری، فناوری فلورسنت و تکنولوژیهای هوشمند، توانستهاند درخششی بینظیر را به دنیای مد و فناوری آورده و توجه فراوانی را به خود جلب کنند. استفاده از فیبرهای نوری با امکانات فلورسنت، با ایجاد جذابیتی بصری و خیرهکننده، این لباسها را به یک پدیده مدرن و منحصر به فرد تبدیل کرده است. اما، جالب است که ترکیب این تکنولوژیها با لباسهای هوشمند نیز میتواند به آیندهای جدیدتر و کاربردهای گستردهتری در حوزههای ایمنی، بهداشت، و فراهم کردن امکانات جدید برای مصرفکنندگان منجر شود. این مقاله با تأکید بر نقش برجسته فیبر نوری و فناوری فلورسنت در توسعه لباسهای نورانی، پتانسیل بالقوه این دو تکنولوژی در بهبود جذابیت و کاربرد لباسهای مدرن را تأکید میکند و معرفی میکند که تلفیق این تکنولوژیها با لباسهای هوشمند میتواند به نوآوریهای بیشتر و استفادههای گستردهتر در صنایع مختلف منجر شود.
کلمات کلیدی: منسوجات هوشمند، منسوجات الکترونیکی، فیبر نوری، فوتولومینانس، فلورسنت، فسفرسنت.
- مقدمه
منسوجات و الیاف در طول هزاران سال با عملکرد اصلی گرم نگه داشتن مردم در حال توسعه بودهاند. پس از آن، مردم شروع به دنباله روی از مد و زیبایی شناسی کردند. در نتیجه، هر دوره تاریخی ویژگیهای پارچه و پوشاک خاص خود را دارا بوده است.
نسل جدیدی از منسوجات هوشمند به تازگی همراه با پیشرفت در علم، فناوری و زمینه های بین رشتهای ظهور کرده است. منسوجات هوشمند؛ سیستمهای هوشمند را قادر میسازند تا مستقیماً روی بدن و منحنی انسان پوشیده شوند. با پیشرفت علم و فناوری الکترونیک در دهههای اخیر، چندین دستگاه میکروالکترونیک با منسوجات برای کاربردهای پوشیدنی ادغام شدهاند، که به عملکردهای نظارت، ارتباط، درمان و سرگرمی و غیره مجهز هستند (شکل ۱) . کاوشهای مداوم در زمینه های فنی، بازار جدیدی را برای صنعت فناوری پوشیدنی ایجاد کرده است.

شکل ۱. دستهبندی لباسهای هوشمند بر اساس ویژگیها و کاربردهای آنها
لباسهای هوشمند نورانی از انواع مختلفی از فناوریهای نورانی استفاده میکنند، از جمله :
فیبر نوری (Optical Fiber) ، فسفروسنت و فلوروسنت (Phosphorescent, Fluorescence)، الیاف نوری (LED Fiber Optics)، الیاف نوری الکتروفسفوری . (Electroluminescent Fibers)
در دهه های اخیر، بر خلاف فیبرهای نوری سنتی که برای انتقال سیگنال استفاده میشدند استفاده از فیبرهای نوری بهطور فزایندهای به فناوریهای پوشیدنی با طیف گسترده ای از عملکردها گسترش یافته است. با توجه به تقاضای مصرف کنندگان جوان و آگاه به مد برای پوشاک منحصر بهفرد، فیبرهای نوری با موفقیت در منسوجات برای روشنایی تعبیه شده اند ]۱۴[.
یکی از نمونههای لباسهای هوشمند، پارچه نورانی است که از فناوری نانو برای ایجاد لباسهایی استفاده میکند که ساطع کننده نور هستند (Itankar et al., 2017) این لباسها با استفاده از مواد فوتولومینسانس مانند فسفر و رنگهای فلورسنت که توانایی جذب انرژی نور و انتشار آن را به عنوان نور مرئی دارند، ساخته می شوند. ساختار لباسهای سبک فوتولومینسانس هوشمند معمولاً از پارچههایی بافته شده با الیاف ساطع نور یا کابلهای نانو تشکیل شده است. البته اثرات بیولوژیکی بالقوه زیست محیطی و تأثیرات منفی بر سلامت انسان تا حدودی از جذابیت لباسهای نورانی کم میکند ]۹[.
هدف اصلی این مقاله، بررسی و تحلیل جامع فناوریهای فیبر نوری و فلورسانس در تولید لباسهای نورانی در زمینه مد و سرگرمی است. این تحقیق ابتدا لباسهای الکترونیک هوشمند را بهعنوان اولین لباسهای نورانی بررسی کرده و سپس به توضیح اثرات این فناوریها بر نوآوری، کیفیت تولید و کاربردهای فراگیر این لباسها در صنعت مد و پوشاک میپردازد.
- منسوجات الکترونیک
منسوجات الکترونیکی پارچههایی هستند که امکان تعبیه قطعات الکترونیکی مانند باتریها، چراغها، حسگرها و میکروکنترلرها را در آنها فراهم میکنند ]۱۲[ (جدول ۱).
جدول ۱. سه نسل منسوجات الکترونیک
| نسل اول | یک سنسور را به لباس متصل میکند. این رویکرد در حال حاضر توسط برندهای پوشاک ورزشی مانند آدیداس، نایک و آندر آرمور اتخاذ شده است. |
| نسل دوم | حسگر را در لباس جاسازی میکنند، همانطور که محصولات فعلی سامسونگ، آلفابت، رالف لورن و فلکس نشان داده اند. |
| نسل سوم | لباس حسگر است. تعداد فزاینده ای از شرکتها در حال ایجاد حسگرهای فشار، فشار و دما برای این منظور هستند. |
حوزه منسوجات الکترونیکی را میتوان به دو دسته اصلی تقسیم کرد:
الف- منسوجات الکترونیکی با وسایل الکترونیکی کلاسیک مانند هادیها، مدارهای مجتمع، ال ای دی، OLED و باتریهای معمولی که در لباسها جاسازی شدهاند.
ب – منسوجات الکترونیکی با وسایل الکترونیکی که مستقیماً در بسترهای نساجی ادغام شدهاند. این میتواند شامل الکترونیک غیرفعال مانند هادی ها و مقاومتها یا اجزای فعال مانند ترانزیستورها، دیودها و سلولهای خورشیدی باشد.
منسوجات الکترونیکی عمدتاً نخ، منسوجات و پارچه رسانا هستند در حالی که نیمی دیگر از تأمین کنندگان و تولیدکنندگان از پلیمرهای رسانا مانند پلیاستیلن و پلیفنیلن وینیلن استفاده می کنند. کاوش های مداوم در این زمینه فنی، بازار جدیدی را برای صنعت فناوری پوشیدنی ایجاد کرده است. فرصتهای زیادی نیز ایجاد شده است و هزاران مؤسسه و شرکت تحقیقاتی را برای توسعه فناوریها و محصولات جدید، از جمله منسوجات هوشمند مبتنی بر فناوری فیبر نوری، جذب کرده است ]۷[.
- فیبر نوری در منسوجات
در دهه های اخیر، استفاده از فیبرهای نوری بهطور فزایندهای به فناوری های پوشیدنی با طیف گستردهای از عملکردها گسترش یافته است. با توجه به تقاضای مصرفکنندگان فیبرهای نوری با موفقیت در منسوجات برای روشنایی تعبیه شدهاند. بر خلاف فیبرهای نوری سنتی برای انتقال سیگنال (نور در داخل هسته منعکس میشود و نور در انتهای فیبر ساطع میشود) (شکل ۲ الف)، فیبرهای نوری برای پوشیدن لباسهای روشنکننده پردازش میشوند. طور که در شکل ۲ (ب) نشان داده شده است دارای سوراخهای ریز در سمت جانبی هستند که از روکش تا هسته عبور میکنند .

شکل۲.اصل انتشار نور جانبی:(الف)فیبر نوری سنتی.(ب)سوراخ شدن روکش.(ج)مارکرو خم شدن فیبر نوری.
سپس نشت نور رخ میدهد زیرا نور در سوراخ ها پراکنده میشود و در نتیجه باعث انتشار نور در سطح فیبر میشود.
راه جایگزین دستیابی به انتشار نور با خمش ماکرو فیبر نوری است همانطور که در شکل ۲ (ج) نشان داده شده است که در آن زاویه انتشار نور α بیشتر از زاویه بحرانی[۱] αC است بنابراین بخشی از نور به بیرون از فیبر ساطع میشود.
بنابراین، یک شبکه X-Y از فیبرهای نوری را می توان در یک ساختار بافته شده به عنوان صفحه نمایش پارچه ای به دست آورد. ماتریس نمایش به گونه ای طراحی شده است که منابع نوری مختلف توسط فیبرهای نوری تعبیه شده در هر واحد سطح طراحی شده به هم متصل می شوند.
این نمایشگر پارچه ای توسعه یافته ممکن است نه تنها در مد، بلکه در نمایش اطلاعات، ارتباطات و سرگرمی نیز پتانسیل بالایی داشته باشد ]۳[.
رنگهای پارچههای فیبر نوری درخشان طراحیشده را میتوان تغییر داد زیرا رنگ اصلی نور ساطع شده در سوراخهای میکرو میتواند با رنگ نور هدایتشده تابششده اضافه شده یا نور محیط بازتابیده شده مخلوط شود تا رنگ جدیدی ارائه شود.
۱.۳. تکنیک های ساخت پارچه برای فناوری فیبر نوری پوشیدنی
چندین تکنیک ساخت نساجی، مانند روشهای بافندگی و روشهای غیربافندگی را میتوان برای تعبیه فناوری فیبر نوری در پارچه نساجی و ساختن نخهای پوشیدنی با فناوری فیبر نوری و نخهای پود بهصورت یک به یک در یک ساختار بافتهشده در هم آمیخت.
در بیشتر موارد، فیبرهای نوری در حالت خمنشده یا با زاویه خمش محدود در پارچه بافته میشوند تا از عملکردهای انتقال و سنجش مؤثر اطمینان حاصل شود. الیاف نوری و نخهای نساجی استاندارد معمولاً از طریق بافندگی دستی و با درهم آمیختن مطابق با قوانین طراحی (بهعنوان مثال، ساده، پارچه جناغی و ساتن) ساخته میشوند.
علاوه بر این، فیبرهای نوری در طرح های ساختاری بافتهشده مختلف، خواص مکانیکی و حسی مختلفی دارند. بهعنوان مثال، وانگ و همکاران گزارش داد که خواص ساطع جانبی فیبرهای نوری در ساختارهای بافته شده ساتن به طور قابل توجهی بالاتر از ساختارهای بافته شده ساده و جناغی است.
علاوه بر این، خواص فیبر نوری نیز میتواند بر عملکرد نهایی نساجی هوشمند تأثیر بگذارد. به عنوان مثال، فیبرهای نوری که معمولاً استفاده می شوند و بهصورت تجاری در دسترس هستند، دارای محدوده قطری از ۲۵۰ میکرومتر تا ۳۰۰۰ میکرومتر هستند. قطر نسبتاً بزرگتر فیبرهای نوری ممکن است باعث استحکام بالای منسوجات هوشمند شود، در عین حال قطر نسبتاً کوچکتر باعث شدت نور کم و مقاومت برشی کم می شود.
۲.۳. عملکرد منسوجات فیبر نوری
عملکرد این منسوجات را میتوان به سه دسته عمده تقسیم کرد: ۱. اهداف مد و زیبایی ۲. درمان بیماری ۳. نظارت بر مراقبتهای بهداشتی
منسوجات هوشمند امکان پوشیدن فناوری فیبر نوری را فراهم میکنند. چنین پارچه هایی راحتی، انعطافپذیری، قابلیت استفاده و دقّت دستگاه های مربوطه را به شدت بهبود میبخشند و آنها را کاربرپسند میکند ]۴[.
- لباسهای هوشمند نورانی فتولومینانس
لومینسانس عبارت است از هرگونه گسیل نور (امواج الکترومغناطیسی) از مادهای که از گرما ایجاد نمیشود. این تعریف، لومینسانس را از تابش متمایز میکند که انتشار نور به دلیل دمای بالا یک ماده، مانند اخگر داغ درخشان است. کلمه لومینسانس از کلمه لاتین lumen برای نور، و لاتین escentia به معنای “فرایند” گرفته شده است و از این رو فرآیند انتشار نور است ]۲[.
انواع مختلفی از لومینسانس وجود دارد که می توان آنها را بر اساس منبع انرژی که فرآیند لومینسانس را آغاز می کند طبقه بندی کرد. نمای کلی انواع مختلف لومینسانس و منابع انرژی آنها در شکل ۳ نشان داده شده است ]۳[.
اساس تکنیک طیفسنجی غیرمخرب قدرتمند، طیفسنجی فوتولومینسانس است که بهطور گسترده در دانشگاه و صنعت استفاده میشود.

شکل ۳. انواع لومیناس بر اساس منبع انرژی
۱.۴. فوتولومینسانس
فوتولومینسانس گسیل نور از یک ماده به دنبال جذب نور است. این کلمه ترکیبی از کلمه لاتین luminescence و پیشوند یونانی photo- برای نور است. هر لومینسانسی که در اثر جذب فوتونها ایجاد شود، فوتولومینسانس نامیده می شود. این می تواند بههمان اندازه انتشار نور از یک مولکول رنگ آلی در محلول، یا نوترکیب نواری به باند الکترونها و حفره ها به دنبال تحریک نوری یک نیمههادی باشد. توصیف هر گسیل نور ناشی از جذب فوتون به عنوان نورتابی دقیق است. با این حال، به ویژه توسط شیمیدانان، تقسیم بیشتر نورتابی به فلورسانس و فسفرسانس معمول است.
پارچه های هوشمند با نانوذرات فوتولومینسانس تعبیهشده نوعی از مواد نساجی پیشرفته هستند که میتوانند در معرض محرکهای خاصی مانند نور UV نور ساطع کنند. این نانوذرات معمولاً در داخل الیاف پارچه جاسازی میشوند و میتوانند برای کاربردهای مختلفی از جمله فناوری پوشیدنی، تجهیزات ایمنی و منسوجات تزئینی استفاده شوند ]۴[ .
با رشد روزافزون سبک زندگی و درآمد قابل مصرف مصرفکنندگان امروزی، بازار برای رشد کاربردهایی مانند رنگ، پوشش، چاپ، برچسبهای وینیل و گاهی اوقات حتی در مواد پلیمری آماده شده است. محیطهای مختلف کاربرد، ظرفیت بیاندازه رشد رنگدانههای فوتولومینسانس را در منطقه کاربرد نساجی امکانپذیر میکند. همچنین پیشبینی میشود افزایش تقاضا از سوی صنایع ساختمانی و خودروسازی باعث رشد بازار شود.
۲.۴. کاربردهای رنگدانههای فوتولومینسانس در منسوجات
کاربردهای رنگدانه های فوتولومینسانس در منسوجات عبارتند از:
نوارها و نخها: برای نشانگرها و علائم در کالاهای مصرفی،تزئینات،ارتباطات، حمل و نقل، تاسیسات نظامی و سیستمهای اضطراری آتشنشانی استفاده میشود.
رنگدانهها و پوششها: بهعنوان مواد افزودنی با رسانههای شفاف مانند جوهر چاپ، رنگ، پلاستیک، خمیر چاپ، سرامیک، ظروف شیشهای و نخ مخلوط میشوند تا رسانه ها در تاریکی بدرخشند.
نوارها: ویژگیهای برجسته درخشندگی و ظاهر دلپذیر، بهویژه در لباسهای ایمنی و پارچههای مبلمان.
رنگها: ایجاد درخشندگی به اجناس با ظاهر خوب با هزینه نسبتاً کم، چسبندگی به مواد مختلف مانند منسوجات، فلز، سنگ، شیشه، پلاستیک، بتن، چوب و آسفالت.
الیاف: برای ایجاد درخشندگی به مواد الیافی استفاده میشود که در دوپ پلیمری[۲] رشتهها و الیاف ساخته شده توسط انسان گنجانده شده است.
تجهیزات ایمنی: برای سیستمهای راهنمایی ایمنی، اعلانهای خطر و دستگاههای ایمنی، از جمله جلیقههای ایمنی خودنور استفاده میشود.
زیباییشناسی: آزمایش محدود در زمینه پارچه های با تکنولوژی بالا و تزئینات سطح، با پتانسیل برای استفاده در روشنایی محیط بدون نیروی الکتریکی اضافی در محیطهای شبانه ]۱۳[.
۳.۴. فلورسانس و فسفرسانس
تعاریف مختلفی از فلورسانس و فسفرسانس وجود دارد که سادهترین آنها این است که فلورسانس نورتابی فوری است که در مدت کوتاهی پس از برانگیختگی نوری یک ماده رخ میدهد، در حالی که فسفرسانس نورتابی طولانیمدتی است که مدتها پس از پایان فتوتحرک ادامه مییابد. فلورسانس و فسفرسانس را می توان به عنوان فوتولومینسانس تعریف کرد که در آن انتقال تابشی به تغییر در تعدد اسپین نیاز ندارد و فوتولومینسانس که در آن انتقال تابشی شامل تغییر در تعدد اسپین است.
فلورسانس و فسفرسانس بیشتر برای اشاره به نورتابی از سیستم های مولکولی استفاده میشود. الکترونها در مولکولهای پایدار همیشه به صورت جفت وجود دارند، زیرا مولکولهای دارای الکترونهای جفتنشده بسیار واکنشپذیر و ناپایدار هستند. الکترونها دارای یک تکانه زاویهای[۳] ذاتی هستند که به نام «اسپین» شناخته میشود و یک جفت الکترون میتوانند بسته به تقارن نسبی اسپینهای دو الکترون در یکی از دو حالت اسپین کل وجود داشته باشند. اگر دو اسپین در یک پیکربندی ضدمتقارن باشند، جفت الکترون دارای اسپین کل صفر است (S = 0) در حالی که اگر در یک پیکربندی متقارن باشند، جفت دارای اسپین کل یک است (S = 1). همانطور که در شکل ۴ نشان داده شده است یک ترکیب از حالتهای جفت اسپین الکترون وجود دارد که ضدمتقارن است و سه ترکیب از حالتهای جفت اسپین که متقارن هستند و حالت های S = 0 و S = 1 بهترتیب منفرد و سه گانه نامیده میشوند ]۹[.

شکل ۴: منشأ حالتهای تک و سه گانه
هنگامی که یک فوتون توسط مولکول جذب میشود، یکی از الکترونها به سطح انرژی بالاتری ارتقا مییابد و مولکول اکنون در حالت برانگیخته است. حالت پایه یک مولکول (تقریباً) همیشه یک حالت منفرد (S0) است و بهدلیل حفظ تکانه زاویه ای حالت برانگیخته با نور نیز باید یک تک (S1) باشد. همانطور که در نمودار جابلونسکی[۴] زیر نشان داده شده است. واپاشی حالت S1 به S0 یک انتقال مجاز است (زیرا هر دو حالت دارای تعدد اسپین یکسان هستند) که منجر به فوتولومینسانس فوری میشود که در مقیاس زمانی پیکوثانیه[۵] تا نانوثانیه[۶] رخ میدهد و فلورسانس نامیده میشود ]۹[.

شکل ۵: نمودار Jablonski از فرآیندهای فلورسانس و فسفرسانس و ثابت سرعت معمولی آنها
از طرف دیگر، مولکول ممکن است تحت تلاقی بین سیستمی (ISC) بهحالت سهگانه برانگیخته (T1) قرار گیرد ISC . معمولاً در مولکولهایی با درجه بالایی از جفتشدن مداری اسپین، جفتشدن تکانه زاویهای مداری و تکانه زاویهای اسپین الکترون، که امکان تبدیل بین حالتهای منفرد و سهگانه را فراهم میکند، رخ میدهد. قدرت جفت شدن مدار اسپین با جرم اتم افزایش مییابد و بنابراین مولکولهای فسفری باید حاوی فلزات سنگینی مانند یوروپیوم و ایریدیوم باشند. واپاشی حالت T1 به S0 یک انتقال ممنوع است زیرا حالتها بهدلیل حفظ تکانه زاویهای، کثرت اسپین متفاوتی دارند. با این حال، جفت چرخشی مدار این محدودیت را کاهش میدهد و انتقال تابشی از T1 به S1 امکانپذیر میشود. از آنجایی که “ممنوع” است، فوتولومینسانس حاصل از انتقال T1 به S0 در مقیاس زمانی بسیار کندتر، از میکروثانیه تا هزاران ثانیه رخ میدهد و فسفرسانس نامیده میشود ]۹[.

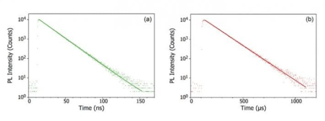
شکل ۶: (الف) واپاشی فلورسانس محلول
۹-آمینوآکریدین که طول عمر ۱۶ نانو ثانیه دارد و (ب) واپاشی فسفرسانس محلول Eu2O3 که طول عمر ۱۲۰ میکرو ثانیه دارد. با استفاده از طیف سنج فوتولومینسانس FLS1000 اندازهگیری شد ]۱۰[.
۴.۴. فلورسنت
پدیده طبیعی و شگفتانگیز فلورسانس بر این مفهوم استوار است که مواد خاصی میتوانند نور با طول موج خاص (فرابنفش) را جذب کنند و سپس نوری با طول موج دیگر (مرئی) آزاد کنند. به یک مولکول فلوروفور گفته می شود که نور را در یک طول موج فلورسانس جذب کند و در طول موج دیگری آن را ساطع کند.
۱.۴.۴. مواد فلورسنت معدنی و آلی
مواد فلورسانت معدنی: این نوع مواد فلورسانت از کانیها و مواد معدنی به دست میآیند که دارای خاصیت فلورسانس هستند.
برخی از معروفترین مواد فلورسانت معدنی عبارتند از:
فلوریت: یک کانی کلسیم و فلزات دیگر که معمولاً بهصورت بنفش، آبی و سبز رنگ فلورسانس نشان میدهد.
کلسیت: کانی دیگری که بهصورت نارنجی، قرمز یا زرد رنگ فلورسانس نشان میدهد.
سودالیت: یک کانی سیلیکاتی که فلورسانس آن به رنگ آبی یا زرد اندازهگیری میشود.
مواد فلورسانت آلی: این نوع مواد فلورسانت اغلب از ترکیبات آلی (حاوی کربن) تشکیل شدهاند. برخی از این مواد فلورسانت میتوانند از ترکیبات مختلفی مانند فلوئورفور (fluorophore) استخراج شوند. این ترکیبات میتوانند در تحقیقات علمی، داروسازی، و تولید پارچههای فلورسانت بهکار روند.
تفاوت اصلی میان مواد فلورسانت معدنی و آلی از نظر ساختار شیمیایی و منشأشان است. مواد فلورسانت معدنی از معادن و کانیها استخراج میشوند، در حالی که مواد فلورسانت آلی از ترکیبات شیمیایی ساخته میشوند که خاصیت فلورسانس دارند.
رنگهای فلورسنت آلی در مقایسه با مواد غیرارگانیک ساختارهای سادهای برای اصلاح دارند و میتوانند با الیاف واکنش دهند تا یکنواختی و راحتی حسی را بهبود بخشند. با این حال، در مقایسه با نقاط کوانتومی، آنها طول عمر فلورسانس کمتری دارند و نور سفید شدن (فوتوبلیچینگ) قابلتوجهی را نشان میدهند ]۱۳[.
۲.۴.۴. فوتوبلیچینگ
منسوجات فلورسنت میتوانند تحت فوتوبلیچینگ قرار گیرند، که به محو شدن یا از دست دادن فلورسانس در طول زمان هنگام قرار گرفتن در معرض نور اشاره دارد. فتوبلینگ میتواند در منسوجات حاوی عوامل فلورسنت مانند دندریمرها، ترکیبات فلزات خاکی نادر و رنگهای فلورسنت رخ دهد. با اینحال، استفاده از رنگدانه های فوتولومینسانس در پارچههای نساجی میتواند پایداری و شدت ویژگیهای فلورسنت را افزایش دهد. محصولات نساجی فلورسنت موجود در بازار، به ویژه آنهایی که از الیاف پلی استر ساخته شده اند، هنگام روشن شدن با نورUV، انتشار نور شدیدی را نشان میدهند، که منجر به افزایش ظاهر رنگ و حفاظت از اشعه ماوراء بنفش میشود ]۱۱[.
۳.۴.۴. دو نوع اصلی رنگهای فلورسنت
الف- رنگدانه ها و رنگهای فلورسنت قابلمشاهده
رنگدانهها و رنگهای فلورسنت مرئی، رنگهای قابل مشاهده هستند که با تحریک نور روشنتر میشوند. این رنگها معمولاً بهعنوان رنگهای فلورسنت نور روز شناخته میشوند و رنگ مرئی منعکس شده توسط مواد را تقویت میکنند تا درخشندگی شدید ایجاد کنند. ویژگی اصلی مواد فلورسنت نور روز، دید بسیار بالای آنها و توانایی آنها در جلب توجه است. این ویژگی آنها را برای موارد زیر ایدهآل میکند: تبلیغات، ایمنی جاده، لباسهای محافظ، تئاتر/هنرهای نمایشی، محصولات مصرفی (اسباببازی، رنگ، خودکار برجسته، برچسب و برچسب).
ب- رنگدانه ها و رنگهای فلورسنت نامرئی
رنگدانهها و رنگهای فلورسنت نامرئی، رنگهایی هستند که در زیر نور سفید استاندارد، رنگ قابل رویت کمی دارند یا اصلاً قابل مشاهده نیستند. این ماده تنها زمانی که توسط نوری با طول موج کوتاهتر، مانند نور ماوراء بنفش نامرئی (UV) برانگیخته میشود، رنگ مرئی ساطع میکند. رنگ فقط تا زمانی که تحریک حفظ شود قابل مشاهده است. هنگامی که از نور تحریک خارج میشود، مواد دیگر تولید رنگ قابل مشاهده را متوقف میکنند.
علاوه بر این، برخی از مواد بسته بهطول موج خاص نور ماوراءبنفش، رنگهای مختلفی از خود ساطع میکنند. این ویژگی رنگدانهها و رنگهای فلورسنت نامرئی را برای کاربردهایی که نیاز به ویژگیهای پنهان یا مخفی دارند، ایدهآل میسازد.
کاربرد رنگهای فلورسنت در زمینههای مختلف متفاوت است. اخیراً استفاده از رنگهای فلورسنت در تشخیص پزشکی و بیوشیمیایی در تحقیقات بهشدت توسعه یافته است. از رنگهای فلورسنت نیز برای ساخت لیزرها استفاده شده است. سلولهای فوتوالکتریک و باتریهای خورشیدی.
استفاده از رنگهای فلورسنت در کنترل جریان متوسط و همچنین برای آزمایش عیوب مواد و آسیب تجهیزات، سالهاست که بهخوبی شناخته شده است. اما یکی از زمینههای کاربردی اصلی که در آن رنگهای فلورسنت از دیرباز مورد استفاده قرار میگرفته است، برای رنگرزی مواد مسطح، بهویژه منسوجات است. استفاده از رنگهای فلورسنت باعث افزایش قابل توجه درخشندگی رنگ میشود که باعث میشود مواد رنگشده راحتتر قابل درک باشند یا بهطور دقیقتر، دید را افزایش دهند ]۵[.
۴.۴.۴. منسوجات هوشمند فلورسنت
کاربرد رنگ های فلورسنت زمینههای مختلفی را در بر میگیرد. اخیراً استفاده از رنگهای فلورسنت در تحقیقات بیوشیمیایی و تشخیصهای پزشکی پیشرفت بزرگی داشته است. رنگهای فلورسنت نیز در ساخت لیزر، سلولهای فوتوالکتریک و باتریهای خورشیدی استفاده شده است. بهعنوان مثال، رنگهای کلاس فلورسین بهصورت تجاری در دسترس هستند و به عنوان افزودنیهای رنگی در مواد غذایی، لوازم آرایشی و داروها استفاده میشوند. برای مصارف ایمنی در زمینههای دیگر، امریکن تایر دارای پتنتهایی است که مربوط به تولید لاستیکهای دوچرخه است که در رنگ فلورسنت زرد موجود است که در شب با چراغهای جلو از فاصله حدوداً چند فوتی قابل مشاهده است. همچنین، رنگهای فلورسنت در رنگآمیزی پلاستیکها، در جوهرهای حلال برای چاپ بستهبندی، در مومها و پولیشها، در تشخیص عیوب فلزات، شیشه، سرامیک و پلاستیک استفاده میشد. اما رنگهای فلورسنت از دیرباز عمدتاً برای رنگرزی مواد مسطح بهویژه منسوجات استفاده می شده است. استفاده از رنگهای فلورسنت باعث افزایش قابل توجه روشنایی رنگ میشود که باعث میشود مواد رنگشده به راحتی قابل درک یا با دقت بیشتری قابل مشاهده باشند ]۴[.
در زمینه نساجی، کاربرد اصلی رنگهای فلورسنت در رنگ آمیزی الیاف مصنوعی، بهویژه پلیاستر، پلیآمید و اکریلیک در ارتباط با الیاف الاستین، برای مصارف مد، اوقات فراغت، پوشاک ورزشی و بهویژه ایمنی است. در صنعت، بسیاری از مواد نساجی با مخلوطی از رنگها؛ رنگ میشوند تا به تکرارپذیری دقیق رنگ مورد نیاز دست یابند. استفاده از دو یا سه رنگ فلورسنت با خواص غیریکسان میتواند بر جذب رنگ و دید بالا تأثیر بگذارد.
بخش بزرگی از این رنگها عوامل آلاینده هستند که نگرانیهای زیستمحیطی رنگرزی منسوجات را افزایش میدهد ]۱۲[.
۵.۴.۴. تاریخچه رنگدانه ها و رنگهای فلورسنت
توسعه رنگدانه و رنگ فلورسنت در اواخر قرن نوزدهم آغاز شد. در سال ۱۸۷۱، آدولف فون بایر اولین رنگدانه فلوروفور مصنوعی را از انیدرید فتالیک و رزورسینول تولید کرد. در سال ۱۹۳۴ در طول جنگ جهانی دوم، محصولات فلورسنت توسط ارتش برای اهداف مختلف سیگنال بصری استفاده شد. نقطه عطفی در سال ۱۹۵۷ با ثبت اختراع برای تولید رنگدانههای فلورسنت نور روز با ترکیب رنگهای فلورسنت با کلاس جدیدی از پلیمرها برای فناوریهای چاپ بهوجود آمد. در دهه ۱۹۷۰ پارچهها و لباسهای فلورسانت بهشدت در صنعت مد جا افتادند. این لباسها اغلب در شرایط نوری کمتر (مانند مهمانیهای نورپردازی شده) جلب توجه میکردند. از قرن بیستم تا امروز، مواد و روشها به گونهای تکامل یافتهاند که مجموعه وسیعی از ترکیبات آلی و معدنی را شامل میشوند. از جمله این تغییرات میتوان به استفاده از نانوذرات فلورسانت در ساختار پارچهها اشاره کرد که امکانات جدیدی برای نمایش اطلاعات یا ردیابی در برخی پارچهها فراهم کرد ]۱۱[.
امروزه، پارچههای فلورسانت همچنان در صنعت مد و لباسپوشانی استفاده میشوند و به دلیل خصوصیات جذابشان همچنان مورد توجه قرار دارند.
در زیر جدول زمانی کوتاهی از افراد و رویدادهای مهم در تاریخ رنگدانه ها و رنگهای فلورسنت آورده شده است:
جدول ۲. رویدادهای مهم در تاریخ رنگدانه ها و رنگهای فلورسنت
| سال | رویداد |
| ۱۸۰۱ | جان ویلیام رایتر نور التراویولت را کشف کرد. |
| ۱۸۵۲ | جورج گابریل استوکس مقاله معروفی در مورد تغییر طول موج نور نوشت. در این مقاله، او پدیده فلورسانس را تشریح کرد و همچنین فلورسانس طبیعی را در مواد معدنی کشف کرد. استوکس لاو و استوکشیفت به نام نامگذاری شدند. قانون استوکس بیان میکند که گسیل فلورسانس در طول موجی طولانیتر از نور فرودی رخ میدهد. شیفت استوکس یک مفهوم مهم در طیفسنجی فلورسانس است. |
| ۱۸۵۶ | ارغوانی از انیلین، مشتق قطران زغال سنگ ساخته شد. |
| ۱۸۷۱ | ادولف فون بایر یک شیمیدان آلمانی بود که اولین فلورفور مصنوعی را تولید کرد. بایر نام این ترکیب را رزورسینفتالین گذاشت. امروزه این ماده شیمیایی با نام فلورسین شناخته میشود. |
| ۱۸۸۷ | موریکا گرسول، یک شیمیدان صنعتی، با موفقیت دسته جدیدی از رنگهای بسیار فلورسنت را با طیف های قرمز منتشر کرد. نام آنها را رودامین گذاشت. |
| ۱۹۴۱ | البرت کونز و همکارانش اولین کسانی بودند که روشی را برای تجسم پروتیینها در بافت حیوانی با کونژوگه کردن آنتیبادیها به فلورسین ابداع کردند، روشی که امروزه بهنام ایمونوفلورسانس میشناسیم. |
| ۱۹۳۰-۱۹۵۰ | جوزف و رابرت سویتزر بهخاطر اختراع رنگسیاه لایت در دهه ۳۰ و بعدها رنگهای فلورسنت نور روز را توسعه دادند. آنها شرکت برادران سویس را تأسیس کردند. |
| ۱۹۹۰-۲۰۰۰ | الن واگونر شیمیدانی بود که رنگهای مبتنی بر سیانین را سنتز و ثبت اختراع کرد که پایدار، محلول در اب و غیرسیتوکسیک برای تحقیقات زیستپزشکی هستند. |
۶.۴.۴. روشهای توسعه پارچه های فلورسنت
پارچه های فلورسنت را میتوان با استفاده از روشهای مختلف توسعه داد.
غوطه ور کردن در محلول حاوی عوامل فلورسنت: یک روش ایجاد فلورسانس در پارچههای هوشمند، استفاده از مولکولهای فلورسانت است که بهطور مستقیم از طریق غوطهور کردن پارچه در محلول حاوی عوامل فلورسنت به فیبرهای پارچه اضافه میشوند. این مولکولها معمولاً توانایی جذب نور در یک طول موج خاص را دارند، مثلاً نور فرابنفش را جذب کرده و آن را بهصورت نور قابل مشاهده با خروجی بیشتری بازتاب میدهند.
۲– فرایند اصلاح شیمیایی چندگانه: یک فرایند اصلاح شیمیایی چندگانه نیز میتواند مورد استفاده قرار گیرد، که در آن گروههای استواستیل بر روی سطح پارچه وارد میشوند و بهدنبال آن حلقههای فلورسنت و ترکیبات آبگریز به الیاف اصلاحشده پیوند مییابد.
۳– افزودن نانوذرات فلورسانت: در یک روش دیگر، نانوذرات فلورسانت نیز میتوانند به پارچه افزوده شوند. این نانوذرات معمولاً از موادی مانند نانوکریستالهای نیمهرساناهای کوانتومی ساخته شدهاند که خصوصیات فلورسانسی قوی دارند. آنها هنگامی که به نور فرابنفش تابیده میشوند، نور با طول موج بلندتری را به دور از نور مورد تابش تبدیل میکنند که ممکن است بهصورت رنگارنگ و مشخص قابل مشاهده باشد.
۴- واکنشهای استریفیکاسیون: روش دیگر ثابت کردن رنگهای فلورسنت بهصورت کووالانسی بر روی پارچه با استفاده از واکنشهای استریفیکاسیون است.
بهطور کلی پارچه های فلورسنت را میتوان با استفاده از ترکیبات فلزی خاکی کمیاب، رنگدانه ها، مولکولهای انتشار ناشی از تجمع (AIE)، دندریمرها و رنگهای فلورسنت طراحی کرد. این روشها امکان تولید پارچه های فلورسنت با پایداری، شدت و خواص آبگریز بهبود یافته را فراهم میکند و آنها را برای کاربردهای در منسوجات کاربردی، اقدامات ضدتقلبی و فعالیتهای ورزشی در فضای باز مناسب میکند ]۱۲[.
۷.۴.۴. رنگ های فلورسنت در منسوجات
رنگهای فلورسنت معمولاً دارای چشمگیری بالا و خصوصیت نورانی منحصر بهفرد هستند. برخی از معروفترین رنگهای فلورسنت عبارتند از: نارنجی فلورسنت (Fluorescent Orange)زرد فلورسنت (Fluorescent Yellow) صورتی فلورسنت (Fluorescent Pink) سبز فلورسنت (Fluorescent Green)آبی فلورسنت (Fluorescent Blue)قرمز فلورسنت (Fluorescent Red) ]16[
رنگهای فلورسنت رایج کومارینها، نفتالیمیدها، پریلنها و رودامینها هستند. نمونه هایی از رنگهای فلورسنت رایج مورداستفاده برای انتقال فلورسانس به بستر نساجی در جدول نشان داده شده است ]۴[.
جدول ۱. رنگهای فلورسنت رایج و بسترهای پارچه

چندین فرایند برای ایجاد پارچهای با عملکرد دلخواه مورد نیاز است. برای دستیابی به ظرفیت جاذب از عوامل اندازهگیری استفاده میشد، در حالیکه از عوامل اکسیدکننده برای بهدست آوردن استحکام، جذب رنگ و روشنایی و رنگها برای دستیابی به رنگهای خاص استفاده میشد. این عملیات با استفاده از تکنیکهای سنتی خشک کردن پد انجام میشد که بهمقادیر زیادی انرژی و آب نیاز داشت که معمولاً بهعنوان پساب آزاد میشد. با اینحال، بخش بزرگی از این گونهها عوامل آلاینده هستند که نگرانیهای زیستمحیطی رنگرزی منسوجات را افزایش میدهد. رنگها و همچنین پلیمرها به آسانی تجزیه نمیشوند و به مقدار بیشتری اکسیژن برای تجزیه توسط میکروارگانیسمها در تجزیه هوازی نیاز دارند یعنی افزایش تقاضای اکسیژن بیوشیمیاییBOD) ) در نتیجه، رنگهای مصنوعی، مواد شیمیایی برای کمک به فرآیند رنگرزی که رنگدانههای رنگارنگ زیبایی تولید میکنند، و روشنکنندههای فلورسنت، یک چالش زیستمحیطی برای حفظ اکوسیستم ایجاد میکنند. پاپسکو و همکاران (۲۰۱۹)، با فناوری مایکروویو (MW) و رنگ طبیعی (کورکومین) از طریق یک فرایند پایدار اقدام به فلوروسنت کردن پارچههای اکریلیک نمودند. این لباسها علاوه بر راحتی و مقاومت حرارتی بالا بهدلیل رنگشان برای جوانان و کودکان جذاب بودند. رنگ کورکومین با استفاده از مواد شیمیایی از زردچوبه استخراج می شود، که این روش توانست مقدار مواد شیمیایی را کاهش داده و توزیع رنگ یکنواخت روی سطح پارچه و فلورسانس بالاتر پارچههای رنگ شده را بدست دهد ]۱ [.
تا سال ۲۰۰۱ تصور می شد که تجمع، انتشار نور را خاموش میکند ولی جینگ دونگ و همکاران در آزمایشی مجموعهای از مولکولها، یعنی سیلانولها، با ساختارهای شیمیایی رسمشده خطی که به نظر میرسد مزدوج هستند، کشف کردند که در محلول غیر درخشان هستند، اما بهشکل تجمعی منتشر میشوند. آنها ثابت کردند که انتشار نور توسط تجمع القا میشود. این تجمع، راندمان انتشار را بهاندازه دو مرتبه بزرگی (۳۳۳ برابر) افزایش دادند.
این پدیده جدید “انتشار ناشی از تجمع” ( (AIE نام گرفت. تترافنیل اتیلن ((TPE تریفنیل آمین ((TPA بور دی پیرومتن (BODIPY)، پیرن، کاربازول، فلورن، یا فنوتیازین از جمله رایجترین ترکیباتی هستند که خواص AIE را نشان می دهند. همچنین به عنوان“AIEgens” لومینوژن[۷] های انتشار ناشی از تجمع شناخته میشوند ]۱۵[.

شکل ۲. ساختار برخی از AIEgensهای رایج
ماهیت کروموفور را میتوان با قرار دادن گروههای غیر اشباع مانند پیوند الفین یا حلقه بنزن تغییر داد.
۸.۴.۴. اهمیت منسوجات فلورسنت
فلورسانس در منسوجات میتواند فرصتهای جدیدی را برای نوآوری (بهعنوان مثال، نمایشگرهای تصویر الکترونیکی مبتنی بر پارچه، بارکدهای امنیتی، حسگرها)، ایمنی انسان در ورزشهای فضای باز و خدمات ویژه در نیروهای مسلح (آتش نشانان، افسران پلیس و سربازان)، مد، و روندها ایجاد کنند. برای ورزش در فضای باز در شرایط دید کم، تجهیزات فنی با ویژگیهای پاسخگو به نور برای ایمنی ورزشکاران بسیار مهم است.
منسوجات رنگرزیشده با مواد رنگزای فلورسنت از لحاظ ظاهری محسوستر میشوند و روشنایی رنگی آنها افزایش قابلتوجهی مییابد مزیتهای کالاهای رنگرزیشده با مواد رنگزا فلورسنتی سبب کاربرد آنها در تهیه تبلیغات رنگی، علایم ترافیکی و جادهای، و حتی لباس پلیس شد.
عدم وجود سیگنال توسط کاربران و دید برای خودروها یکی از دلایل اصلی تصادفات با درگیری عابر پیاده است. بسیاری از کشورها بر وضع قوانینی متمرکز شدهاند که به پوشاک هشدار برای عموم و مسافران آسیبپذیر نیاز دارند. در اروپا، دو استاندارد برای لباس دید ((EN ISO 20471:2013 و EN 1150))، و یک استاندارد برای لوازم جانبی (EN 13356) بهعنوان استانداردهای هماهنگ اروپایی صادرشده است. این استاندارد الزامات منسوجات رنگشده با رنگهای فلورسنت را توضیح میدهد که برای تولید لباسهای هشدار دهنده با دید بالا طراحی شدهاند. هر دو استاندارد، دید لباس را هم در نور روز (از طریق پارچه فلورسنت) و هم در نور کم یا تاریکی (از طریق مواد بازتابنده) ارتقا میدهند. محصولات تقلبی معمولاً بهدلیل قیمت پایین در مقایسه با محصولات اصلی توجه مردم را به خود جلب میکنند. با این حال، تقلیدها کیفیت پایینی دارند و در بیشتر موارد از مواد خطرناک و مضر ساخته میشوند ]۱[.
- فسفرسانس
فسفرسانس شکل دقیقی از فوتولومینسانس است که با فلورسانس مرتبط است. این فرآیندی است که در آن انرژی نسبتاً کندتر به شکل نورUV آزاد میشود. بی شباهت به فلورسانس، یک ماده فسفرسنت فورا انتشاری را که جذب میکند دوباره منتشر نمیکند. این مواد تمایل دارند انرژی را برای مدت زمان بیشتری ذخیره کنند، زیرا روش های مورد نیاز برای انتشار مجدد نور کمتر اتفاق میافتد.
رنگهای فسفری طیف گستردهای از رنگدانهها و کروما را ارائه میکنند که در معرض فرکانسهای فرابنفش موج بلند ((UV نیز میدرخشند.
۱.۵. منسوجات فسفری: به آن دسته از منسوجات اطلاق میشود که رنگآمیزی میشوند (مرحله نخ یا پارچه)، یا با استفاده از رنگدانههای فسفری چاپ میشوند. این رنگدانهها دارای خاصیت منحصر بهفردی در درخشش در تاریکی هستند، بههمین دلیل به آنها رنگدانههای درخشش در تاریکی نیز میگویند که به رنگ سبز کم رنگ تا آبی متمایل به سبز میدرخشد.
۲.۵. رنگدانههای متداول مورد استفاده در ساخت منسوجات فسفری
رنگدانههای متداول مورد استفاده در ساخت منسوجات فسفری بلورهای بسیار ریز سولفید روی ((ZnS و آلومینات استرانسیم هستند. این رنگدانهها بهدلیل توانایی در جذب نور و انتشار آن برای مدت طولانیتری دارای خاصیت منحصر بهفرد درخشش در تاریکی هستند. علاوه بر این، مقدار کمی مس به کریستالهای سولفید روی اضافه میشود تا آنها را تحریک کند و در نتیجه ویژگی قابل توجه این رنگدانهها برای جذب نور و انتشار این نور جذبشده برای مدت زمان طولانی تری ایجاد میشود. رنگهای فسفری دارای درخشندگی پایداری هستند که تا ۱۲ ساعت پس از قرار گرفتن در معرض نور ادامه مییابد و نور با گذشت زمان کم میشود.
۳.۵. تاریخچه رنگدانهها و رنگهای فسفرسنت
اصطلاح فسفر از قرون وسطی برای توصیف مواد معدنی که در تاریکی میدرخشند استفاده میشد. یکی از معروفترین، اما نه اولین، فسفر بولونیا بود. در حدود سال ۱۶۰۴، وینچنزو کاسچیارولو یک “لاپیس سولاریس” را در نزدیکی بولونیا، ایتالیا کشف کرد. پس از گرم شدن در کوره غنی از اکسیژن، نور خورشید را جذب کرده و در تاریکی میدرخشد. در سال ۱۶۷۷، هنری برند عنصر جدیدی را جدا کرد که بهدلیل یک واکنش شیمیایی در هنگام قرار گرفتن در معرض هوا میدرخشید و آن را “فسفر” نامید.
در مقابل، اصطلاح لومینسانس (از لومن لاتین “نور”)، توسط ایلارد ویدمان در سال ۱۸۸۸ بهعنوان اصطلاحی برای اشاره به “نور بدون گرما” ابداع شد، در حالی که “فلورسانس” توسط سر جورج استوکس در سال ۱۸۵۲، زمانی که او متوجه شد هنگامی که محلول سولفات کینین را در معرض نوری قرار میداد که از طریق منشور شکست میخورد، محلول در معرض نور مرموز نامرئی (که اکنون بهعنوان نور UV شناخته می شود) فراتر از انتهای بنفش طیف میدرخشد. استوکس این اصطلاح را از ترکیب فلورسپات و اپالسانس (ترجیح استفاده از یک ماده معدنی بهجای محلول) بهوجود آورد، البته بعداً کشف شد که فلورسپار بهدلیل فسفرسانس میدرخشد.
در اواخر قرن نوزدهم تا اواسط قرن بیستم بین معانی این اصطلاحات سردرگمی زیادی وجود داشت. در حالی که اصطلاح “فلورسانس” به درخشندگی اشاره دارد که بلافاصله (بر اساس استانداردهای چشم انسان) با حذف از تحریک متوقف میشود، “فسفرسانس” تقریباً به هر مادهای اطلاق میشود که برای دوره های قابلتوجهی در تاریکی میدرخشد، گاهی اوقات حتی نورتابی شیمیایی (که گاهی اوقات شامل نور شیمیایی نیز میشود). تنها پس از دهههای ۱۹۵۰ و ۱۹۶۰ پیشرفتهایی در الکترونیک کوانتومی صورت گرفت.
۴.۵. روشهای توسعه پارچههای فلورسنت
برای انتقال فسفرسانس به بستر نساجی، یعنی به فرآیند تولید پارچهها و تمامیت بصری آنها، برخی روشها و مواد استفاده میشوند که این ویژگی نوری را در پارچهها حفظ کنند. روشها و موادی که برای انتقال فسفرسانس به بستر نساجی مورد استفاده قرار میگیرند عبارتند از:
- استفاده از الیاف فسفرسانتی: در این روش، الیافی که دارای ویژگی فسفرسانس هستند، مورد استفاده قرار میگیرند. این الیاف میتوانند بهصورت مخلوط با الیاف دیگر مثل پنبه یا پلیاستر در فرآیند تولید پارچه استفاده شوند.
- پوشش پارچه با مواد فسفرسانت: این روش شامل پوشش دادن یا رنگآمیزی پارچه با مواد فسفرسانتی است که ویژگی فسفرسانس را به آنها میبخشد. این مواد میتوانند بهصورت محلول، رنگهای پوششی، یا حتی طبقهبندیهای خاصی روی پارچهها اعمال شوند.
- استفاده از رزینهای فسفرسانتی: این رزینها بر روی پارچهها اعمال میشوند تا ویژگیهای فسفرسانس را به آنها منتقل کنند. این روش به صورت پوششی یا تزریقی میتواند بهکار گرفته شود.
- پرداخت کردن با جوهر فسفرسانتی: در این روش، جوهرهای فسفرسانتی بهعنوان جوهرهای چاپ بر روی پارچه استفاده میشوند. این جوهرها میتوانند بهکمک فناوری چاپ مختلفی مانند چاپ سیلکاسکرین یا چاپ دیجیتال به پارچهها اعمال شوند.
هر یک از این روشها و مواد میتوانند به صورت مختلف در فرآیند تولید پارچههای فسفرسانتی مورد استفاده قرار بگیرند. انتخاب بهترین روش و مواد وابسته به نوع پارچه مورد نظر، کیفیت مطلوب و نیازهای مشتری است ]۶[.
۵.۵. اثرات مضر منسوجات فسفرسنت و راه حل آن
اثرات بیولوژیکی بالقوه رنگهای فسفری، همانطور که در سند مشخص شده است، عبارتند از:
- آسیب به حشرات: انتشار تدریجی اشعه ماوراء بنفش از رنگدانههای فسفری میتواند بر حشرات مانند پشهها، مگسهای خانگی و حشرات تأثیر بگذارد و در نتیجه به محیط زیست آسیب برساند.
- بیماریهای پوستی: وجود رادیوایزوتوپها در رنگدانههای فسفری که در پارچهها استفاده میشود، میتواند بر پوست تأثیر بگذارد و به طور بالقوه باعث بیماریهای پوستی شود و حتی در برخی موارد سرطانزا بودن را ثابت کند.
- اختلالات خواب: تابش مداوم نور از پارچههای فسفری در طول شب میتواند الگوی خواب افراد را مختل کند.
- آسیب به سلول های مغز و DNA: انتشار طولانیمدت UV از پارچههای فسفری میتواند بهطور بالقوه بر سلولهای مغز و DNA انسان بهدلیل قرار گرفتن طولانی مدت در معرض اشعه مضر UV تأثیر بگذارد.
این اثرات بالقوه بهعنوان مسائل مرتبط با استفاده از رنگدانههای فسفری در منسوجات برجسته میشوند. بر اساس تحقیقات انجام شده، راه حل های ارائه شده برای مجموعهای از مشکلات ناشی از پیگمنتهای فسفری عبارتند از:
- پوشش اکسید روی – زینک اکساید محلولی است حاوی اکسید روی، که یک ترکیب معدنی است که اشعه UV را جذب میکند. هنگامی که روی پارچه چاپشده یا رنگشده پوشانده میشود، UV را که پارچه در نور روز جذب میکند و همچنین UV جذب شده را که در مراحل بعدی ساطع میشود جذب میکند، بنابراین پارچه را ایمنتر میکند.
- پوشش ترموپلاستیک – پوششی از لایه ترموپلاستیک، که بیرنگ است، تقریباً مانند اکسید روی عمل میکند و مانند یک لایه لایه روی پارچه عمل می کند که از انتشار UV از سطح پارچه جلوگیری میکند.
- روکش کتانی روی محصولات – کتانی یکی از مواد نساجی است که اشعه ماوراء بنفش را جذب میکند، از این رو پوشش روی محصولات مد خانگی پس از استفاده در شب که از کتانی ساخته شده است، بر روی الگوی خواب کاربر تأثیر نمیگذارد.
- از نظر تئوری در مورد پوشاک، ضریب پوشش و نفوذپذیری هوای پارچهها را میتوان بهحدی افزایش داد که اشعه ماوراء بنفش از آن عبور نکند و روی پوست تأثیر نگذارد.
- کاهش انتشار اشعه ماوراءبنفش در نتیجه عواقب مضر ناشی از رنگدانه فسفری پارچه رنگشده/چاپ شده را کاهش میدهد ]۱۴[.
- نتیجه گیری
لباسهای هوشمند، با استفاده از ترکیب فناوری و پوشاک، این امکان را فراهم میکنند که علاوه بر وظایف اصلی یک لباس، از امکانات الکترونیکی و سنسورها برای انجام وظایف دیگر نیز بهره برده شود. این لباسها با استفاده از سنسورها، الکترونیک، و تکنولوژیهای پوشیدنی، میتوانند اطلاعاتی را از محیط و یا از بدن فرد جمعآوری کرده و عملکردی خاص را انجام دهند.
در این راستا، ادغام لباسهای هوشمند با لباسهای نورانی با فیبر نوری و فلورسنت نیز میتواند به واقعیتی جدید و جذاب تبدیل شود. بهعنوان مثال، اضافه کردن عناصر نوری به لباسهای هوشمند باعث میشود که این لباسها در شرایط نوری کمتر برای دیده شدن بهتر باشند. همچنین، این امکان وجود دارد که سنسورها و تکنولوژیهای هوشمند درون لباسهای نورانی قرار گیرند که باعث افزایش ایمنی، اطلاع رسانی در شرایط اضطراری، یا حتی انتقال دادههای فیزیولوژیک از بدن فرد به دستگاههای جمعآوری داده میشوند.
همچنین، لباسهای هوشمند میتوانند دارای قابلیتهای خاصی باشند که با نور نشان داده میشوند. به عنوان مثال، افراد میتوانند با استفاده از یک نوع سیستم هوشمند، رنگ یا نور لباسهای خود را تغییر دهند و برنامه ریزی کنند تا در هر لحظه به شکلی دلخواه خود نشان داده شوند.
بهاین ترتیب، ترکیب لباسهای هوشمند با لباسهای نورانی و فلورسنت، نه تنها ابزاری برای افزایش جذابیت و استایل در مدرنیته مدلهاست بلکه میتواند کاربردهای متنوعی در حوزههای ایمنی، مدیریت سلامت، و حتی سرگرمی و تفریح داشته باشد.
منابع
- صادقی کیاخانی، م، ۱۳۹۴، بهینه کردن فرآیند رنگرزی کالای اکریلیکی رنگرزیشده با ماده رنگزای نفتالیمیدی اصلاحشده با دندریمر، PAMAM، نشریه علمی پژوهشی علوم و فناوری رنگ/ ۹/ ۵۳-۶۴.
- Abdelrahman, M, Elhadad, S, Naggar, M, Gaffer, M. (2022). Ultraviolet-Sensitive Photoluminescent Spray-CoateTextile, MDPI –Coatings-Vol. 12, Iss: 11, pp 1686-1686.
- Attar, R, Alshareef, M, Snari, R, Alaysuy, O. (2022). Development of novel photoluminescent fibers from recycled polyester waste using plasma-assisted dyeing toward ultraviolet sensing and protective textiles, Journal of materials research and technology-Vol. 21, pp 1630-1642.
- Jiang,S, Stange, O, Sultanova, S, Sabantina, L. (2021). Applications of Smart Clothing – Brief Overview, COMMUNICATIONS IN DEVELOPMENT AND ASSEMBLING OF TEXTILE PRODUCTS, Vol. 2, No. 2, pp. 123-140.
- Hamdaoui, M, Lanouar, A, Halaoua, S. (2015). Study of Fluorescent Dyeing Process and Influence of Mixture Dyes on High-visibility, Journal of Engineered Fibers and Fabrics, Volume10, Issue 1.
- Lee, H, Liu, H, Liu, H, Yunlei Yin, H. (2022). Fabrication of durable fluorescent and hydrophobic cotton fabrics by multiple surface modifications, 01 Jan 2022-Industrial Crops and Products(Elsevier)-Vol. 175, pp 114238.
- Mahltig, B, Ernst, V, Schöder, L. (2023). Exemplarily view on selected fluorescence textile products, Communications in development and assembling of textile products-Vol. 4, Iss: 1, pp 61-69.
- Nie, W, Wu, J, Yang, J, Hu, L. (2023). Fabrication of Sustainable Hydrophobic Cotton Fabrics with Fluorescence-Emitting Performance Using Novel 1,8-Naphthalimide Functional Molecules, ACS Sustainable Chemistry & Engineering-Vol. 11, Iss: 9, pp 3873-3881.
- Patti, A, Acierno, D. (2023). Fluorescence in Smart Textiles –Encyclopedia-Vol. 3, Iss: 2, pp 665-676.
Popescu, V, Astanei, D, Burlica, R, Popescu, A, Munteanu, C. (2019). Sustainable and cleaner microwave-assisted dyeing process for obtaining eco-friendly and fluorescent acrylic knitted fabrics. J. Clean. Prod. 2019, 232, 451–۴۶۱.
- Sharma, R, Bairagi, N. (2018). The Role of Photo luminescent Pigments in Textiles, crimson publishers, volume2, issue2, p164-167.
- Ultimate Guide to Fluorescent Pigments and Dyes. (۲۰۲۳). https://angtech.com/2023/01/10/ultimate-guide-to-fluorescent-pigments-and-dyes.
- Yang, K, M, Venkataraman, M, Wiener, J, Militky, J. (2023).Photo luminescence PCMs and their potential for thermal adaptive textiles, Woodhead Publishing Series in Composites Science and Engineering, Pages 255-277.
- Zhang, M, Zhang, M, Chen, J, Zhang, M. (2020). Radiation-Induced In Situ-Printed Nonconjugated Fluorescent Nonwoven Fabric with Superior Fluorescent Properties, ACS Applied Materials & Interfaces(American Chemical Society (ACS))-Vol. 12, Iss: 43, pp 49258-49264.
- Zillane, M. (2022). What is a Fluorescent Color? Best Characteristics, Types, Uses, Benefits, and Drawbacks of Fluorescent Colors, textilefashionstudy.
- https://en.wikipedia.org/wiki/Luminous_ paint.
۱۶. https://www.edinst.com/us/blog/photoluminescence-differences.
[۱] . زاویه بحرانی حداقل زاویه تابش که در آن انعکاس کامل وجود دارد.
[۲]. دوپپلیمری یک نوع پلیمر است که دارای ویژگیهایی خاص است. واژه “دوپ” از کلمهای فرانسوی به معنای دوگانه یا دوباره اقتباس شده است. در دوپپلیمری، به دوپیدن پلیمر یعنی افزودن یا تغییر مولکولهای الکترونی به منظور تغییر خواص الکتریکی و هادی پلیمر میپردازند. این فرآیند میتواند خواص الکتریکی و هادی پلیمر را بهبود بخشد و قابلیتهایی مانند رسانایی الکتریکی یا هادی بودن را به پلیمر اضافه کند. به طور کلی، دوپپلیمری میتواند در ساختن مواد هادی و الکتریکی کاربرد داشته باشد.
۳.تکانه زاویهای به مقداری که بیانگر میزان حرکت یا چرخش یک جسم حول محوری میباشد، اشاره دارد. این مفهوم با استفاده از مقدار زاویهای که یک جسم دارای چرخش از یک محور انجام میدهد، محاسبه میشود.
[۴] . نمودار جابلونسکی (Jabłonski diagram) در علم فیزیک و شیمی، یک نمودار سطحی است که برای نمایش فرآیندهای الکترونی داخل مولکولها یا کریستالها استفاده میشود. این نمودار برای توصیف فرآیندهایی مانند جذب نور، انتقال انرژی الکترونی، و انتشار فوتولومینسانس (انتشار نور پس از جذب نور) استفاده میشود.
در یک نمودار جابلونسکی، سطوح انرژی الکترونی درون یک مولکول نشان داده میشوند. این سطوح شامل سطح اولیه (حالت اصلی) و سطوح پرانرژیتری که الکترون میتواند به آنها انتقال پیدا کند هستند. در هنگام جذب نور، الکترون از سطح اولیه به سطوح پرانرژیتری منتقل میشود و ممکن است پس از یک زمان به حالت اصلی برگردد و نور را با فراگیر شدن انرژی آزاد کند (فوتولومینسانس) یا این انتقال انرژی به صورت گرما (تبدیل به حرارت) از دست داده شود.
[۵] . یک میلیاردم (۱/۱,۰۰۰,۰۰۰,۰۰۰) از یک نانوثانیه
[۶] . یک میلیاردم (۱/۱,۰۰۰,۰۰۰,۰۰۰) ثانیه
[۷] . لومینوژن یا “تابش نور” به واکنش یا پاسخی اشاره دارد که موادی در معرض نور یا تحریکات دیگر نشان میدهند. این واکنش میتواند شامل تابش نور به شکل فلورسانس (تابش نور در طول موج قابل رویت) یا فسفرسانس (تابش نور پس از قطع نور) باشد.
لومینوژن در مواد مختلف و در حالتهای مختلفی قابل مشاهده است. برخی مواد به صورت طبیعی خود ویژگیهای لومینوژن دارند، مانند گلوکزینیت (یک نوع سنگ) که در تاریکی با فسفرسانس نور خود را نشان میدهد.